ZHCS779C March 2012 – July 2025 UCC28070 , UCC28070A
PRODUCTION DATA
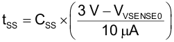
To maintain a controlled power up, the UCC28070A has been designed with an adaptive soft-start function that overrides the internal reference voltage with a controlled voltage ramp during power up. On initial power up, once VVSENSE exceeds the 0.75V enable threshold (VEN), the internal pulldown on the SS pin is released, and the 1.5mA adaptive soft-start current source is activated. This 1.5mA pullup almost immediately pulls the SS pin to 0.75V (VVSENSE) to bypass the initial 25% of dead time during a traditional 0V to VREGULATION SS ramp. Once the SS pin has reached the voltage on VSENSE, the 10μA soft-start current (ISS) takes over. Thus, through the selection of the soft-start capacitor (CSS), the effective soft-start time (tSS) may be easily programmed based on Equation 21.

Often, a system restart is desired following a brief shutdown. In such a case, VSENSE may still have substantial voltage if VOUT has not fully discharged or if high line has peak charged COUT. To eliminate the delay caused by charging CSS from 0V up to the precharged VVSENSE with only the 10μA current source and minimize any further output voltage sag, the adaptive soft start uses a 1.5mA current source to rapidly charge CSS to VVSENSE, after which time the 10μA source controls the VSS rise at the desired soft-start ramp rate. In such a case, tSS is estimated as follows:

where
For soft-start to be effective and avoid overshoot on VOUT, the SS ramp must be slower than the voltage-loop control response. Choose CSS ≥ CVZ to ensure this.
Figure 6-4 Soft-Start Ramp Rate