ZHCSDE5A June 2013 – January 2015 TPS22963C , TPS22964C
PRODUCTION DATA.
| MIN | MAX | UNIT | |||
|---|---|---|---|---|---|
| VIN | Input voltage range | –0.3 | 6 | V | |
| VOUT | Output voltage range | –0.3 | 6 | V | |
| VON | ON pin voltage range | –0.3 | 6 | V | |
| IMAX | Maximum continuous switch current | 3 | A | ||
| IPLS | Maximum pulsed switch current, 100 µs pulse, 2% duty cycle, TA = –40°C to 85°C | 4 | A | ||
| TA | Operating free air temperature range | –40 | 85 | °C | |
| TJ | Maximum junction temperature | 125 | °C | ||
| Tstg | Storage temperature range | –65 | 150 | °C | |
| VALUE | UNIT | |||
|---|---|---|---|---|
| V(ESD) | Electrostatic discharge | Human-body model (HBM), per ANSI/ESDA/JEDEC JS-001(1) | ±2000 | V |
| Charged-device model (CDM), per JEDEC specification JESD22-C101(2) | ±500 | |||
| MIN | TYP | MAX | UNIT | |||
|---|---|---|---|---|---|---|
| VIN | Input voltage range | 1 | 5.5 | V | ||
| VOUT | Output voltage range | 0 | 5.5 | V | ||
| VIH, ON | High-level ON voltage | VIN = 2.5 V to 5.5 V | 1.3 | 5.5 | V | |
| VIN = 1 V to 2.49 V | 1.1 | 5.5 | ||||
| VIL, ON | Low-level ON voltage | VIN = 2.5 V to 5.5 V | 0 | 0.6 | V | |
| VIN = 1 V to 2.49 V | 0 | 0.4 | ||||
| CIN | Input capacitor | 1(1) | µF | |||
| THERMAL METRIC(1) | TPS2296xC | UNIT | |
|---|---|---|---|
| YZP | |||
| 6 PINS | |||
| RθJA | Junction-to-ambient thermal resistance | 132.0 | °C/W |
| RθJCtop | Junction-to-case (top) thermal resistance | 1.4 | |
| RθJB | Junction-to-board thermal resistance | 22.8 | |
| ψJT | Junction-to-top characterization parameter | 5.7 | |
| ψJB | Junction-to-board characterization parameter | 22.6 | |
| PARAMETER | TEST CONDITIONS | TA | MIN | TYP | MAX | UNIT | |
|---|---|---|---|---|---|---|---|
| IQ, VIN | Quiescent current | IOUT = 0, VON = VIN = 5 V | Full | 66.5 | 96 | µA | |
| IOUT = 0, VON = VIN = 4.5 V | Full | 57 | 82 | ||||
| IOUT = 0, VON = VIN = 3.3 V | Full | 38 | 60 | ||||
| IOUT = 0, VON = VIN = 2.5 V | Full | 33.3 | 55 | ||||
| IOUT = 0, VON = VIN = 1.8 V | Full | 28.3 | 45 | ||||
| IOUT = 0, VON = VIN = 1.2 V | Full | 22.8 | 36 | ||||
| IOUT = 0, VON = VIN = 1.1 V | Full | 21.6 | 34 | ||||
| IOUT = 0, VON = VIN = 1 V | Full | 20.3 | 33 | ||||
| ISD, VIN | Shut down current | VON = 0, VIN = 5 V, VOUT = 0 V | Full | 0.76 | 2 | µA | |
| VON = 0, VIN = 1 V, VOUT = 0 V | Full | 0.07 | 0.8 | ||||
| RON | On-resistance | VIN = 5 V, IOUT = –200 mA | 25?C | 13.3 | 21 | mΩ | |
| Full | 26 | ||||||
| VIN = 4.5 V, IOUT = –200 mA | 25?C | 13.3 | 21 | mΩ | |||
| Full | 26 | ||||||
| VIN = 3.3 V, IOUT = –200 mA | 25?C | 13.8 | 22 | mΩ | |||
| Full | 27 | ||||||
| VIN = 2.5 V, IOUT = –200 mA | 25?C | 15.4 | 24 | mΩ | |||
| Full | 29 | ||||||
| VIN = 1.8 V, IOUT = –200 mA | 25?C | 18.2 | 28 | mΩ | |||
| Full | 33 | ||||||
| VIN = 1.2 V, IOUT = –200 mA | 25?C | 25.6 | 37 | mΩ | |||
| Full | 44 | ||||||
| VIN = 1.1 V, IOUT = –200 mA | 25?C | 28.7 | 41 | mΩ | |||
| Full | 50 | ||||||
| VIN = 1 V, IOUT = –200 mA | 25°C | 33.8 | 48 | mΩ | |||
| Full | 60 | ||||||
| VHYS, ON | ON pin hysteresis | VIN = 5 V | Full | 115 | mV | ||
| VIN = 4.5 V | Full | 105 | |||||
| VIN = 3.3 V | Full | 80 | |||||
| VIN = 2.5 V | Full | 65 | |||||
| VIN = 1.8 V | Full | 50 | |||||
| VIN = 1.2 V | Full | 35 | |||||
| VIN = 1.1 V | Full | 30 | |||||
| VIN = 1 V | Full | 30 | |||||
| ION | ON pin leakage current | VON = 1.1 V to 5.5 V | Full | 150 | nA | ||
| IRC, VIN | Reverse current when disabled | VIN = VON = 0 V, VOUT = 5 V | 25°C | –0.02 | µA | ||
| 85°C | –2.1 | ||||||
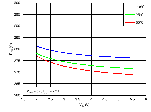
| RPD(1) | Output pulldown resistance | VON = 0 V, IOUT = 2 mA | Full | 273 | 325 | Ω | |
| PARAMETER | TEST CONDITION | TPS22963/64 | UNIT | |
|---|---|---|---|---|
| TYP | ||||
| VIN = 5.0 V, TA = 25°C (unless otherwise noted) | ||||
| tON | Turn-ON time | ROUT = 10Ω, CIN = 1µF, COUT = 0.1µF | 928 | µs |
| tOFF | Turn-OFF time | ROUT = 10Ω, CIN = 1µF, COUT = 0.1µF | 2.5 | |
| tR | VOUT rise time | ROUT = 10Ω, CIN = 1µF, COUT = 0.1µF | 890 | |
| tF | VOUT fall time | ROUT = 10Ω, CIN = 1µF, COUT = 0.1µF | 2.1 | |
| tD | Delay time | ROUT = 10Ω, CIN = 1µF, COUT = 0.1µF | 561 | |
| VIN = 4.5 V, TA = 25°C (unless otherwise noted) | ||||
| tON | Turn-ON time | ROUT = 10 Ω, CIN = 1 µF, COUT = 0.1 µF | 905 | µs |
| tOFF | Turn-OFF time | ROUT = 10 Ω, CIN = 1 µF, COUT = 0.1 µF | 2.6 | |
| tR | VOUT rise time | ROUT = 10 Ω, CIN = 1 µF, COUT = 0.1 µF | 859 | |
| tF | VOUT fall time | ROUT = 10 Ω, CIN = 1 µF, COUT = 0.1 µF | 2.1 | |
| tD | Delay time | ROUT = 10 Ω, CIN = 1 µF, COUT = 0.1 µF | 560 | |
| VIN = 3.3 V, TA = 25°C (unless otherwise noted) | ||||
| tON | Turn-ON time | ROUT = 10 Ω, CIN = 1 µF, COUT = 0.1 µF | 836 | µs |
| tOFF | Turn-OFF time | ROUT = 10 Ω, CIN = 1 µF, COUT = 0.1 µF | 2.8 | |
| tR | VOUT rise time | ROUT = 10 Ω, CIN = 1 µF, COUT = 0.1 µF | 715 | |
| tF | VOUT fall time | ROUT = 10 Ω, CIN = 1 µF, COUT = 0.1 µF | 2 | |
| tD | Delay time | ROUT = 10 Ω, CIN = 1 µF, COUT = 0.1 µF | 553 | |
| VIN = 1.8 V, TA = 25°C (unless otherwise noted) | ||||
| tON | Turn-ON time | ROUT = 10 Ω, CIN = 1 µF, COUT = 0.1 µF | 822 | µs |
| tOFF | Turn-OFF time | ROUT = 10 Ω, CIN = 1 µF, COUT = 0.1 µF | 2.8 | |
| tR | VOUT rise time | ROUT = 10 Ω, CIN = 1 µF, COUT = 0.1 µF | 651 | |
| tF | VOUT fall time | ROUT = 10 Ω, CIN = 1 µF, COUT = 0.1 µF | 2 | |
| tD | Delay time | ROUT = 10 Ω, CIN = 1 µF, COUT = 0.1 µF | 558 | |
| VIN = 1.2 V, TA = 25°C (unless otherwise noted) | ||||
| tON | Turn-ON time | ROUT = 10 Ω, CIN = 1 µF, COUT = 0.1 µF | 852 | µs |
| tOFF | Turn-OFF time | ROUT = 10 Ω, CIN = 1 µF, COUT = 0.1 µF | 3.2 | |
| tR | VOUT rise time | ROUT = 10 Ω, CIN = 1 µF, COUT = 0.1 µF | 535 | |
| tF | VOUT fall time | ROUT = 10 Ω, CIN = 1 µF, COUT = 0.1 µF | 1.8 | |
| tD | Delay time | ROUT = 10 Ω, CIN = 1 µF, COUT = 0.1 µF | 594 | |
| VIN = 1.1 V, TA = 25°C (unless otherwise noted) | ||||
| tON | Turn-ON time | ROUT = 10 Ω, CIN = 1 µF, COUT = 0.1 µF | 861 | µs |
| tOFF | Turn-OFF time | ROUT = 10 Ω, CIN = 1 µF, COUT = 0.1 µF | 3.5 | |
| tR | VOUT rise time | ROUT = 10 Ω, CIN = 1 µF, COUT = 0.1 µF | 518 | |
| tF | VOUT fall time | ROUT = 10 Ω, CIN = 1 µF, COUT = 0.1 µF | 1.9 | |
| tD | Delay time | ROUT = 10 Ω, CIN = 1 µF, COUT = 0.1 µF | 604 | |
Figure 1. On Resistance vs VIN
Figure 3. Quiescent Current vs VIN
Figure 5. Shut Down Current vs VIN
Figure 7. Output Pulldown Resistance vs VIN
Figure 9. Output Voltage vs VON Rising
Figure 11. Reverse Current When Disabled vs Temperature
Figure 2. On Resistance vs Temperature
Figure 4. Quiescent Current vs Temperature
Figure 6. Shut Down Current vs Temperature
Figure 8. On Pin Hysteresis vs VIN
Figure 10. Output Voltage vs VON Falling
Figure 12. Turn-On Time vs VIN
Figure 14. VOUT Rise Time vs VIN
Figure 16. VOUT Fall Time vs VIN
Figure 13. Turn-Off Time vs VIN
Figure 15. VOUT Rise Time vs VIN
Figure 17. Delay Time vs VIN

















