ZHCS844D November 2011 – January 2025 TLV70012-Q1 , TLV70018-Q1
PRODUCTION DATA
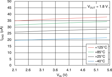
over operating temperature range (TJ = –40°C to 125°C), VIN = VOUT(NOM) + 0.5V or 2V, whichever is greater; IOUT = 10mA, VEN = VIN, COUT = 1.0μF (unless otherwise noted); typical values are at TJ = 25°C



















