ZHCUAH7B May 2018 – June 2021 TPS56637
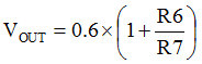
要改變 EVM 的輸出電壓,需要改變電阻器 R6 的阻值。更改 R6 的阻值可以更改 0.6V 以上的輸出電壓。特定輸出電壓下的 R6 阻值可以使用Equation1 計算得出。

表 3-1 列出了一些常見輸出電壓下的 R6 阻值。
| 輸出電壓(1) (V) | R6(2) (kΩ) | R7 (kΩ) | L1 (μH) | COUT(3) (μF) | C9 (pF)(4) | R8 (kΩ)(4) | ||
|---|---|---|---|---|---|---|---|---|
| 最小值 | 典型值 | 最大值 | ||||||
| 1.05 | 7.5 | 10.0 | 1 | 30 | 35 | 100 | ||
| 1.2 | 10 | 10.0 | 1 | 30 | 35 | 100 | ||
| 1.8 | 20 | 10.0 | 1.2 | 30 | 35 | 100 | ||
| 3.3 | 45.3 | 10.0 | 2.2 | 20 | 35 | 100 | 100 至 220 | 20 |
| 5 | 73.2 | 10.0 | 3.3 | 20 | 30 | 100 | 100 至 220 | 20 |
| 12 | 191 | 10.0 | 5.6 | 25 | 30 | 100 | 100 至 220 | 20 |