ZHCSL22B March 2020 – May 2022 UCC27284-Q1
PRODUCTION DATA
The total power loss in gate driver device such as the UCC27284-Q1 is the summation of the power loss in different functional blocks of the gate driver device. These power loss components are explained in this section.
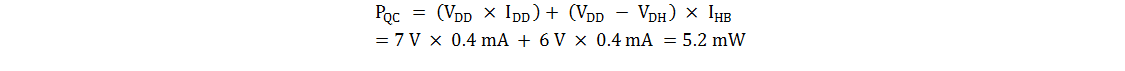
it is not shown here, but for better approximation, add no load operating current, IDDO and IHBO in above equation.

where

where
Assume there is no external gate resistor in this example. The average value of maximum pull-up and pull down resistance of the driver output section is approximately 4 Ω. Substitute the application values to calculate the dynamic loss due to gate charge, which is 160 mW here.

For this example and simplicity, it is assumed that value of parasitic charge QP is 1 nC. Substituting values results in 24.6 mW as level shifter dynamic loss. This estimate is very high for level shifter dynamic losses.
The sum of all the losses is 191.85 mW as a total gate driver loss. As shown in this example, in most applications the dynamic loss due to gate charge dominates the total power loss in gate driver device. For gate drivers that include bootstrap diode, one should also estimate losses in bootstrap diode. Diode forward conduction loss is computed as product of average forward voltage drop and average forward current.
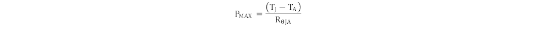
Equation 8 estimates the maximum allowable power loss of the device for a given ambient temperature.

where
To better estimate the junction temperature of the gate driver device in the application, it is recommended to first accurately measure the case temperature and then determine the power dissipation in a given application. Then use ψJT to calculate junction temperature. After estimating junction temperature and measuring ambient temperature in the application, calculate θJA(effective). Then, if design parameters (such as the value of an external gate resistor or power MOSFET) change during the development of the project, use θJA(effective) to estimate how these changes affect junction temperature of the gate driver device.
For detailed information regarding the thermal information table, please refer to the Semiconductor and Device Package Thermal Metrics application report.