ZHCSOW9C october 2022 – july 2023 TPSM82912 , TPSM82913 , TPSM82913E
PRODUCTION DATA
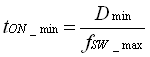
The switching frequency can be chosen to optimize efficiency (1 MHz) or ripple, noise (2.2 MHz). Using the 2.2-MHz setting increases the gain of the feedback loop and can result in lower output noise. However, additional considerations for minimum on-time and duty cycle must also be considered. First, calculate the duty cycle using Equation 3. Higher efficiency results in a shorter on-time, so a conservative approach is to use a higher efficiency than expected in the application.

where
Then, calculate the on-time with both 1 MHz and 2.2 MHz using Equation 4. The on-time must always remain above the minimum on-time of 70 ns. Use the maximum input voltage and maximum efficiency to determine the minimum duty cycle, Dmin. Use the maximum switching frequency for fSW.

then