ZHCSME4 December 2020 THS4567
PRODUCTION DATA
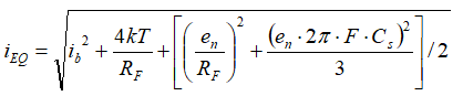
為了簡化配置為 TIA 的 FDA 的噪聲計算,請將電路分為兩個相同的部分,并將每一半視為獨立的運算放大器電路。配置為 TIA 的運算放大器的噪聲如高速放大器跨阻注意事項中所示,并在方程式 1 中重復。圖 8-1 展示了等效噪聲電路。圖 8-1 中的放大器電壓噪聲 eNOP 等于 THS4567 (eN) 的指定輸入?yún)⒖茧妷涸肼暢?1.414。通過這種方法,我們能夠?qū)?FDA 作為兩個完全相同但互不相關的部分進行分析。FDA 的總噪聲等于每一半的總噪聲乘以 1.414。
圖 8-1 跨阻放大器噪聲分析電路為了盡可能降低 TIA 的總噪聲,電路設計人員應該:
通過增加反向偏置,可以盡可能地減小光電二極管的電容??梢元毩⒖刂?THS4567 的輸入和輸出共模。該獨立控制特性使電路設計人員能夠?qū)⒐怆姸O管的陽極設置為接近負電源電壓,同時將其陰極連接至接近正電源電壓,以盡可能地增大光電二極管上的反向偏置。然后,將輸出共模設置為匹配下一級 ADC 的輸入共模范圍。在標準運算放大器 TIA 中,輸入共模偏置為接近正電源,以便盡可能增大放大器的輸出擺幅。這種偏置配置限制了光電二極管兩端的反向偏置,從而增加了其輸入電容。THS4567 器件經(jīng)過優(yōu)化,可通過優(yōu)化方程式 1 中每個作用源的噪聲源來降低系統(tǒng)總噪聲。

其中