SBOA272C December 2020 – January 2021 LMC7101 , OPA170
Design Goals
| Input 1 | Input 2 | Output | Freq. | Supply | ||||
|---|---|---|---|---|---|---|---|---|
| Vi1Min | Vi1Max | Vi2Min | Vi2Max | VoMin | VoMax | f | Vcc | Vee |
| –2.5V | 2.5V | –250mV | 250mV | –4.9V | 4.9V | 10kHz | 5V | –5V |
Design Description
This design sums (adds) and inverts two input signals, Vi1 and Vi2. The input signals typically come from low-impedance sources because the input impedance of this circuit is determined by the input resistors, R1 and R2. The common-mode voltage of an inverting amplifier is equal to the voltage connected to the non-inverting node, which is ground in this design.
Design Notes
Design Steps
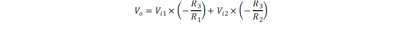
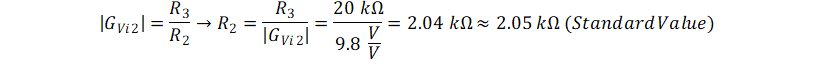
The transfer function for this circuit is given below.













Design Simulations
DC Simulation Results
This simulation sweeps Vi1 from –2.5V to 2.5V while Vi2 is held constant at 0V. The output is inverted and ranges from –2.44V to 2.44V.
This simulation sweeps Vi2 from –250mV to 250mV while Vi1 is held constant at 0V. The output is inverted and ranges from –2.44V to 2.44V.
AC Simulation Results
This simulation shows the bandwidth of the circuit. Note that the bandwidth is the same for either input. This is because the bandwidth depends on the noise gain of the circuit, not the signal gain of each input. These results correlate well with the calculations.
Transient Simulation Results
This simulation shows the inversion and summing of the two input signals. Vi1 is a 1-kHz, 5-Vpp sine wave and Vi2 is a 10-kHz, 500-mVpp sine wave. Since both inputs are properly amplified or attenuated, the output is within specification.
Design References
See Analog Engineer's Circuit Cookbooks for TI's comprehensive circuit library.
See circuit SPICE simulation file SBOC494.
For more information on many op amp topics including common-mode range, output swing, bandwidth, and how to drive an ADC please visit TI Precision Labs.
Design Featured Op Amp
| OPA170 | |
|---|---|
| Vss | 2.7V to 36V |
| VinCM | (Vee-0.1V) to (Vcc-2V) |
| Vout | Rail-to-rail |
| Vos | 0.25mV |
| Iq | 110μA |
| Ib | 8pA |
| UGBW | 1.2MHz |
| SR | 0.4V/μs |
| #Channels | 1, 2, 4 |
| www.ti.com/product/opa170 | |
Design Alternate Op Amp
| LMC7101 | |
|---|---|
| Vss | 2.7V to 15.5V |
| VinCM | Rail-to-rail |
| Vout | Rail-to-rail |
| Vos | 110μV |
| Iq | 0.8mA |
| Ib | 1pA |
| UGBW | 1.1MHz |
| SR | 1.1V/μs |
| #Channels | 1 |
| www.ti.com/product/lmc7101 | |
| Revision | Date | Change |
|---|---|---|
| C | January 2021 | Updated Formula format |
| B | December 2020 | Updated Design Goals Table |
| A | January 2019 | Down-style title. Updated title role to Amplifiers. Added link to circuit cookbook landing page. |