ZHCSNV7A March 2020 – December 2021 TPS62816-Q1
PRODUCTION DATA
This pin allows the user to set two different parameters independently:
A resistor from COMP/FSET to GND changes the compensation as well as the switching frequency. The change in compensation allows the user to adopt the device to different values of output capacitance. The resistor must be placed close to the pin to keep the parasitic capacitance on the pin to a minimum. The compensation setting is sampled at the start-up of the converter, so a change in the resistor during operation only has an effect on the switching frequency, but not on the compensation.
To save external components, the pin can also be directly tied to VIN or GND to set a pre-defined switching frequency or compensation. Do not leave the pin floating.
The switching frequency has to be selected based on the input voltage and the output voltage to meet the specifications for the minimum on time and minimum off time.
Example: VIN = 5 V, VOUT = 1 V --> duty cycle (DC) = 1 V / 5 V = 0.2
The compensation range has to be chosen based on the minimum capacitance used. The capacitance can be increased from the minimum value as given in Table 9-1, up to the maximum of 470 μF in all of the three compensation ranges. If the capacitance of an output changes during operation, for example, when load switches are used to connect or disconnect parts of the circuitry, the compensation has to be chosen for the minimum capacitance on the output. With large output capacitance, the compensation must be done based on that large capacitance to get the best load transient response. Compensating for large output capacitance but placing less capacitance on the output can lead to instability.
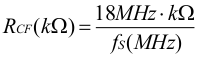
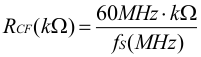
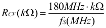
The switching frequency for the different compensation setting is determined by the following equations.
For compensation (comp) setting 1 with spread spectrum clocking (SSC) disabled:

For compensation (comp) setting 1 with spread spectrum clocking (SSC) enabled:

For compensation (comp) setting 2 with spread spectrum clocking (SSC) disabled:

| COMPENSATION | RCF | SWITCHING FREQUENCY | MINIMUM OUTPUT CAPACITANCE |
|---|---|---|---|
| for smallest output capacitance (comp setting 1) SSC disabled | 10 kΩ ... 4.5 kΩ | 1.8 MHz (10 kΩ) ... 4 MHz (4.5 kΩ) according to Equation 1 | 32 μF × V / VOUT[V] |
| for smallest output capacitance (comp setting 1) SSC enabled | 33 kΩ ... 15 kΩ | 1.8 MHz (33 kΩ) ... 4 MHz (15 kΩ) according to Equation 2 | 32 μF × V / VOUT[V] |
| for best transient response (larger output capacitance) (comp setting 2) SSC disabled | 100 kΩ ... 45 kΩ | 1.8 MHz (100 kΩ) ... 4 MHz (45 kΩ) according to Equation 3 | 72 μF × V / VOUT[V] |
| for smallest output capacitance (comp setting 1) SSC disabled | tied to GND | internally fixed 2.25 MHz | 32 μF × V / VOUT[V] |
| for best transient response (larger output capacitance) (comp setting 2) SSC enabled | tied to VIN | internally fixed 2.25 MHz | 72 μF × V / VOUT[V] |
The minimum output capacitance required for stability depends on the output voltage as stated in Table 9-1. Refer to Section 10.1.2.2.2 for further details on the output capacitance required depending on the output voltage.
A too-high resistor value for RCF is decoded as "tied to VIN" and a value below the lowest range is decoded as "tied to GND". The minimum output capacitance in Table 9-1 is for capacitors close to the output of the device. If the capacitance is distributed, a lower compensation setting can be required.